
医院动态
详细内容
News——致滁州一院老年医学科全体医护人员
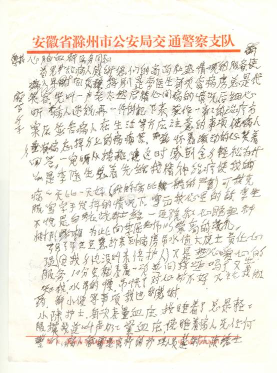
【编者按】近日,我院老年医学科收到一封特殊的感谢信。87岁的刘则芝老人,子女都在外地工作,平时独自一人生活,3月3日因病被送到我院老年医学科救治。经入院检查发现,老人患有多种疾病且病情较重,生活也无人照料,刘老太顿时陷入了困境,可是我院老年医学科的同仁们用他们的实际行动帮老人解了围,他们不仅用高超的医术使老人转危为安,更是担负起了照料老人日常生活的责任,打开水、递小便盒,无微不至的照顾老人,不是亲人胜似亲人,老太十分感动,经常说:“在这里我感受到了家的温暖”。
老人病情一稳定便提出要写封感谢信表达自己的感激,可是老人患有帕金森症,写字十分困难,但她不顾劝阻用颤抖的手写下了这封感谢信,以此来表达对我院医护人员的发自肺腑的感谢。

宣传科
![]() |
![]() |
![]() |
|
| 支付宝生活号 | 微信服务号 | 微信订阅号 | 在线留言 |